+5º
ясно
ветер 1,7 м/с, З

Реклама: ООО "ОЛЕАНДР-МЕД", ИНН 9111026025

Реклама: ИП Бережной А.Г., ИНН 911116150093

Реклама: ИП Бехтер А.А., ИНН 911113102616

Реклама: Самозанятый Вандышев Александр Николаевич, ИНН 911113162887

Реклама: ИП Кравченко Е. Л., ИНН 911109375963

Реклама: ООО "Похоронный дом "Феникс", ИНН 9111027526

Реклама: ИНН 910806164654 - ИП Лукьянова А.А.

Реклама: ООО "ПРАЙМЕР", ИНН 9102054851

Архив
«    Февраль 2024    »
ПнВтСрЧтПтСбВс
 1234
567891011
12131415161718
19202122232425
26272829 

Как вариант: в Керчи вместо ожидаемого благоустройства отремонтируют внутридворовые проезды

04.02.2024 09:22 2 841 Новости » Общество

Сколько продлится программа по благоустройству дворовых территорий, неизвестно. Пока жители многих МКД дождутся своей очереди, ремонтировать уже будет нечего. Как вариант - ремонт внутридворовых проездов. Чаще всего люди банально не могут доехать до своего подъезда. Сергей Аксенов на последнем совещании сообщил о том, что такой ремонт в том числе будет профинансирован из республиканского бюджета, - передает Керчь.ФМ

«Будет проведен ремонт внутридомовых проездов многоквартирных домов. В настоящее время работы в первую очередь требуются в городе Симферополе, городе-герое Керчи, Симферопольском районе.

Все работы будут выполняться за счет бюджетов разных уровней, в первую очередь республиканского», - сообщил Аксенов на официальной странице  Главы Республики Крым.

Глава администрации Керчи во время прямого эфира озвучил сумму республиканской помощи в 200 миллионов. Однако официального подтверждения пока еще нигде нет. Также пока нет контрактов на ремонтные работы, чтобы можно было сказать про необходимые суммы.

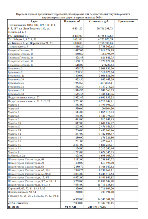
Администрация Керчи опубликовала список внутридворовых проездов, которые обещают отремонтировать в первом полугодии 2024 года.

 

В него попали Индустриальное шоссе, 27. Им благоустройства не видать, пока не будет построен и сдан дом для депортированных. А с такими темпами и сложностями в финансировании и строительстве, благоустройство будут делать лет через 5, не раньше, если вообще будут. проехать по двору нельзя уже сейчас. Туда же вошли проезды по Буденного 32, 33, 40. По этому двору не то что проехать, пройти невозможно.

1 голос
Служба новостей Керчь.ФМ

Если вы увидели опечатку в тексте самой статьи, то выделите её и нажмите Ctrl+Enter.

Добавить комментарий
Информация
Комментировать статьи на сайте возможно только в течении 10 дней со дня публикации.

Реклама на ФМ

Реклама: ИП Добрынин Д.В., ИНН 911109540871

Реклама: ИП Новиков Е. В., ИНН 911100059635

Реклама: ИП Батурина-Казбанова Виктория Геннадьевна, ИНН 910510158934

Реклама: ООО «Зимний Сад» , ИНН 9111004342

Реклама: ИП Цинтынь Е. В. , ИНН 911100113579

Реклама: ИП Войтов В. В., ИНН 911101031030

Реклама: Гераскевич Галина Валерьевна , ИНН 911104425868

Реклама: Оценщик Ляхнова Е. И., ИНН 911110909930

Реклама: ООО "АКР", ИНН 9111029178

Юридические услуги в Керчи. Громада София Валерьевна

Реклама: Юрист Громада С. В., ИНН 110204076670

Реклама: ООО «АЙКЛИНИК», ИНН 9111024148

Изготовление памятников

Реклама: ИП Кара - Иванов Ф. Л., ИНН 911108712253

Реклама: ИП Лошенко Е.А., ИНН 911109343707

Реклама: ИП Гришин И.И., ИНН 911107214600

Фабрика натяжных потолков «Виктория»

Реклама: ИП Бережной А.Г., ИНН 911116150093

Наверх