+12º
ясно
ветер 3,5 м/с, ЮЗ

Реклама: ООО "ОЛЕАНДР-МЕД", ИНН 9111026025

Реклама: ИП Кравченко Е. Л., ИНН 911109375963

Реклама: ИП Бехтер А.А., ИНН 911113102616

Реклама: ИП Бережной А.Г., ИНН 911116150093

Реклама: ООО "Похоронный дом "Феникс", ИНН 9111027526

Реклама: ООО «НПП «Вентос-Крым» ИНН 9111011396 

Реклама: ИНН 910806164654 - ИП Лукьянова А.А.

Реклама: Самозанятый Вандышев Александр Николаевич, ИНН 911113162887

Реклама: ООО "ПРАЙМЕР", ИНН 9102054851

Архив
«    Март 2019    »
ПнВтСрЧтПтСбВс
 123
45678910
11121314151617
18192021222324
25262728293031

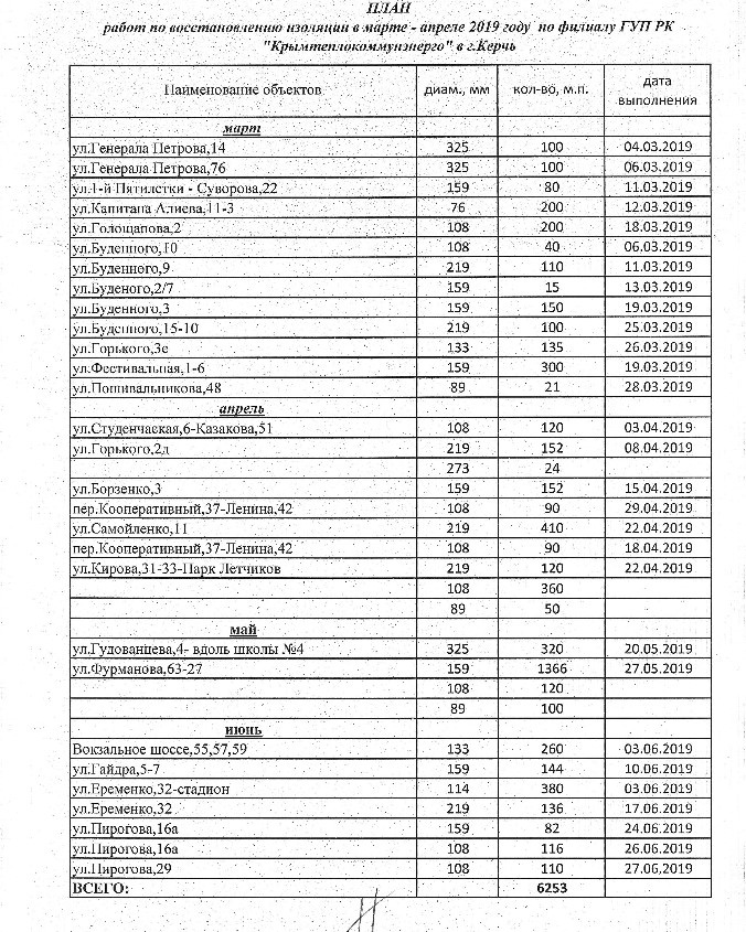
В Керчи утеплят более шести тысяч метров теплотруб

01.03.2019 09:41 2 667 Новости » Общество

«Теплокоммунэнерго» будет проводить в Керчи теплоизоляцию труб. Об этом сообщает пресс-служба администрации, - передает Керчь.ФМ  

Всего до июня запланировано утеплить более шести тысяч погонных метров труб.

 

0 голосов
Служба новостей Керчь.ФМ

Если вы увидели опечатку в тексте самой статьи, то выделите её и нажмите Ctrl+Enter.

Добавить комментарий
Информация
Комментировать статьи на сайте возможно только в течении 10 дней со дня публикации.

Реклама на ФМ

Реклама: ООО "АКР", ИНН 9111029178

Реклама: ИП Добрынин Д.В., ИНН 911109540871

Изготовление памятников

Реклама: ИП Кара - Иванов Ф. Л., ИНН 911108712253

Реклама: Оценщик Ляхнова Е. И., ИНН 911110909930

Реклама: ИП Афанасьева Е. А., ИНН 911113720429

Реклама: ИП Гришин И.И., ИНН 911107214600

Реклама: ИП Бережной А.Г., ИНН 911116150093

Реклама: ИП Ищенко Е. А., ИНН 911100179516

Юридические услуги в Керчи. Громада София Валерьевна

Реклама: Юрист Громада С. В., ИНН 110204076670

Реклама: ИП Лошенко Е.А., ИНН 911109343707

Реклама: ИП Батурина-Казбанова Виктория Геннадьевна, ИНН 910510158934

Реклама: ИП Киргетова Д. С., ИНН 9 111 097 444 66

Реклама: ИП Павленко М. Р., ИНН 911103871108

Реклама: Гераскевич Галина Валерьевна , ИНН 911104425868

Фабрика натяжных потолков «Виктория»

Реклама: ИП Бережной А.Г., ИНН 911116150093

Наверх