+7º
ясно
ветер 3,2 м/с, Ю

Реклама: ООО "ОЛЕАНДР-МЕД", ИНН 9111026025

Реклама: ИНН 910806164654 - ИП Лукьянова А.А.

Реклама: ИП Кравченко Е. Л., ИНН 911109375963

Реклама: ИП Бехтер А.А., ИНН 911113102616

Реклама: ООО "Похоронный дом "Феникс", ИНН 9111027526

Реклама: ИП Бережной А.Г., ИНН 911116150093

Реклама: Самозанятый Вандышев Александр Николаевич, ИНН 911113162887

Реклама: ООО "ПРАЙМЕР", ИНН 9102054851

Архив
«    Декабрь 2018    »
ПнВтСрЧтПтСбВс
 12
3456789
10111213141516
17181920212223
24252627282930
31 

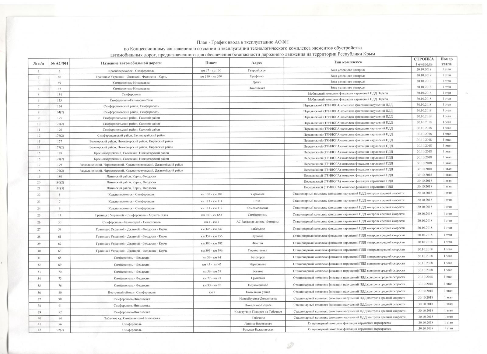
Керчане предложили поделиться координатами камер на дорогах (дополнено)

08.12.2018 20:03 12 757 Новости » Общество

Керчанам все чаще стали приходить "письма счастья" от ГИБДД, где из автомобили сфотографировали камеры фото-видеофиксации. Интерес автолюбителей и профессионалов подогревается еще и тем, что часть камер, которые установлены на дорогах, не более, чем фикция, рассчитанная на то, что неразумный водитель, который на грани нарушения ПДД, все же одумается и не будет этого делать. Но, тем не менее, читатели сайта Керчь.ФМ предложили рассказать друг другу о том, где стоят реальные камеры видеофиксации.

Это можно сделать, прислав на почту сайта  info@kerch.fm фото "письма счастья", где указаны координаты камеры.

Различные сайты, типа антирадары и Яндекс-навигатор, вносят камеры на свои ресурсы, но очень часто реальную камеру путают с фикцией.

К примеру, реальная камера стоит при въезде в Горностаевку, а на ресурсе ее нет. Вариант карты с камерами есть на Яндексе.

 

официальный перечень камер фиксации с указанием точек размещения

 

1 голос
Служба новостей Керчь.ФМ

Если вы увидели опечатку в тексте самой статьи, то выделите её и нажмите Ctrl+Enter.

Добавить комментарий
Информация
Комментировать статьи на сайте возможно только в течении 10 дней со дня публикации.

Реклама на ФМ

Реклама: ИП Горбунова Е.Г., ИНН 911103181168

Реклама: ООО «АЙКЛИНИК», ИНН 9111024148

Реклама: ИП Лошенко Е.А., ИНН 911109343707

Реклама: ИП Киргетова Д. С., ИНН 9 111 097 444 66

Реклама: ИП Джум Д.А., ИНН 911111080237

Реклама: ИП Новиков Е. В., ИНН 911100059635

Изготовление памятников

Реклама: ИП Кара - Иванов Ф. Л., ИНН 911108712253

Реклама: ИП Цинтынь Е. В. , ИНН 911100113579

Юридические услуги в Керчи. Громада София Валерьевна

Реклама: Юрист Громада С. В., ИНН 110204076670

Реклама: ИП Кучеренко Э.В., ИНН 911100186665

Реклама: ИП Бережной А.Г., ИНН 911116150093

Реклама: ИП Гришин И.И., ИНН 911107214600

Реклама: ИП Ищенко Е. А., ИНН 911100179516

Реклама: ИП Цинтынь Е. В. , ИНН 911100113579

Фабрика натяжных потолков «Виктория»

Реклама: ИП Бережной А.Г., ИНН 911116150093

Наверх